보통 전선로나 애자 부근에 임계전압 이상의 전압이 가해지는 경우 공기의 절연이 부분적으로 파괴되어 낮은 소리나 엷은 빛을 내면서 방전하는 현상으로 표현합니다. 한마디로 정리하면 공기가 견딜 수 있는 절연내력 한계를 초과하는 경우에 발생하는 현상입니다. 아래의 그림과 같이 빚이 나거나 비가오면 변전소 근처에서 웅웅거리는 소리가 이러한 현상때문에 발생하는 소리입니다.


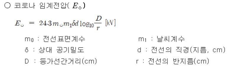
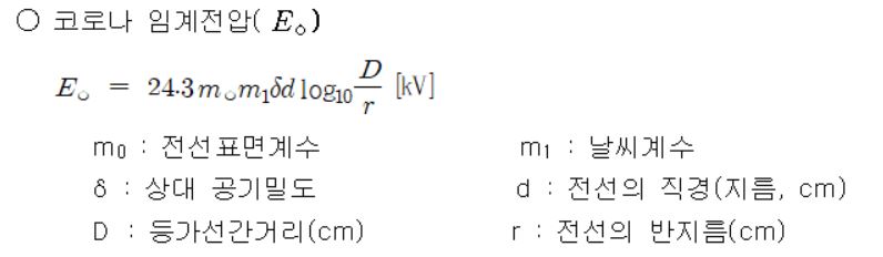
≫ 코로나 임계전압을(critical disruptive voltage) 크게 하면 코로나 손실은 감소한다.

≫ 코로나 임계전압을 크게 하려면 전선의 직경을 크게 하거나 등가선간거리를 크게 해야 한다.
기사시험에 단골로 나오는 문제이지요.
○ 코로나 현상에 대한 영향
① 코로나 손실 발생 및 송전효율의 저하
② 코로나 잡음
③ 통신선 유도장해
④ 소호리액터의 소호능력저하
⑤ 전선의 부식 촉진
○ 코로나의 방지책
① 전선의 직경을 굵게 한다.
⇒ 등가선간거리를 크게 하면 철탑(지지물)이 커져야 하므로 비경 제적이다.
⇒ 따라서 코로나 임계전압을 크게 해 코로나손실을 방지하려면 전선의 직경은 크게 해야 한다.
⇒ 전선의 직경을 무한정 크게 하면 전선중량이 증가하기 때문에 복도체를 사용하거나 중공전선(Al
Tube) 및 ACSR(강심알루미 늄연선)을 사용한다.
② 가선금구 개량.
※ 중공전선(Al Tube) : 표피효과로 인해 전하밀도가 전선외부에 밀집하고 전선중심에는 전하밀도가 작으므로 전선하중을 작 게 하기 위해 도체의 중앙부분을 비운 전선.
※ 복도체 : 주목적은 코로나 현상 방지
- 전선표면의 전위경도를 감소시키고 코로나 임계전압이 높아져 코로 나 손실 및 전력손실 감소시킴.
- 작용인덕턴스(L)는 감소되고 작용정전용량(C)이 증대돼 특성임피던 스가 작아져서 송전용량 증대
③ 굵은 전선을 사용한다
④ 코로나 임계전압을 상규전압 이상으로 높여 준다
공기는 보통 절연물로 보지만 표준상태(20℃, 760㎜Hg)에 있어서 직류는 약 30[㎸/㎝], 교류는 실효값인30kV/1.414 = 21.1 [㎸/㎝]에서 공기의 절연이 파괴되는 데 이것을 전위경도라 한다. 코로나 현상이란 전위경도가 높아서 이상전압이나 이상전류의 영향 등으로 전선주변의 자장과 공기의 절연이 국부적으로 파괴되면서 낮은 음과 빛을 발하는 현상을 말합니다.
코로나 링(Corona Ring)의 목적
전기기기, 송전선로 모두 높은 전압을 이용하는 경우 전계 집중에 의한 사고가 발생한는데요. 그래서 전기기기에는 전계가 갑자기 커지커나 모서리진 부분이 없게 해주는 것이 중요하고요, 마찬가지로 송전선로등에서도 전계가 완만하게 구배가 되도록 해주는 역할을 하는 것이 바로 코로나 링입니다. 전기기기에서는 Grading Tape가 그 역할을 합니다. 보통 200kV이상의 전압에 적용을 하고요, 링 모양은 위에 사진과 같은 구조를 가지고 있습니다.
그레이딩 링(Grading Ring)의 목적
마찬가지로 애자에서는 Grading Ring이 그 역할을 수행합니다. 아래 그림처럼 코로나 링, 그레이딩 링이 있으면 전계가 완만하게 분포되는 것을 알 수 있습니다.

'전기랑 놀자' 카테고리의 다른 글
| 단권변압기와 복권변압기 그리고 토로이달 변압기 (1) | 2020.12.22 |
|---|---|
| 고조파(Harmonic Wave) 정의와 영향 (3) | 2020.10.23 |
| 자동제어 기구번호 (6) | 2020.10.18 |
| 절연전선-HFIX, HFIO(저독성 난연 폴리올레핀 절연전선), IV전선, HIV (1) | 2020.10.17 |
| 전선관 종류-후강전선관, 박강전선관, 스테인레스 스틸 (2) | 2020.10.13 |
댓글