반응형
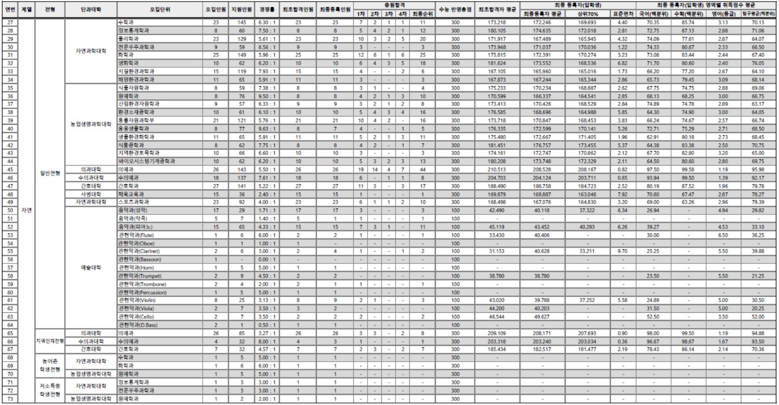
오늘은 충남대 정시모집 등급컷을 알려드리려고 합니다.
충남대학교에서는 가형, 나형만 지원가능하니 참고바랍니다.
아래의 링크로 충남대학교 입학본부의 자료를 더 찾아보실수 있습니다.
https://ipsi.cnu.ac.kr/intro.html




반응형
'입시::고등 내신, 수시, 정시' 카테고리의 다른 글
| 2022학년도 전남대 수시 등급컷 (0) | 2022.08.14 |
|---|---|
| 2022학년도 전남대 정시 등급컷 (0) | 2022.08.14 |
| 2022학년도 충남대 수시 등급컷 (0) | 2022.07.06 |
| 한국전력 필기시험 준비(NCS) (0) | 2021.07.26 |
| [내신영어] 내신 영어 독학 공부법::영어공부법, 자료 사이트 (0) | 2021.07.13 |
댓글